CAS Number: 145328-03-6
Alternate CAS#:
Chemical Name: Pregabalin Impurity 44
Molecular Formula: C11H20O4
Molecular Weight: 216.28
CAS Number: 2349671-57-2
Alternate CAS#:
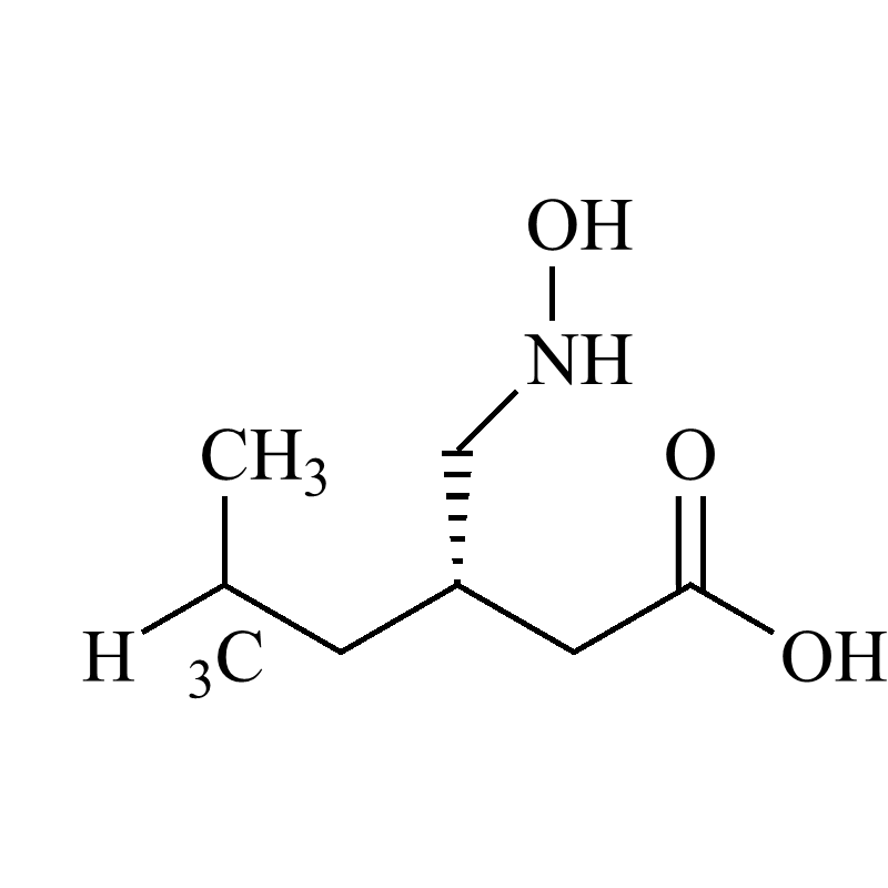
Chemical Name: Pregabalin Impurity 43
Molecular Formula: C8H17NO3
Molecular Weight: 175.23
CAS Number: 181289-21-4
Alternate CAS#:
Chemical Name: Pregabalin Impurity 42
Molecular Formula: C8H15NO4
Molecular Weight: 189.21
CAS Number: N/A
Alternate CAS#:
Chemical Name: Pregabalin Impurity 41
Molecular Formula: C24H42N2O4
Molecular Weight: 422.61
CAS Number: N/A
Alternate CAS#:
Chemical Name: Pregabalin Impurity 40
Molecular Formula: C17H32N2O4
Molecular Weight: 328.45
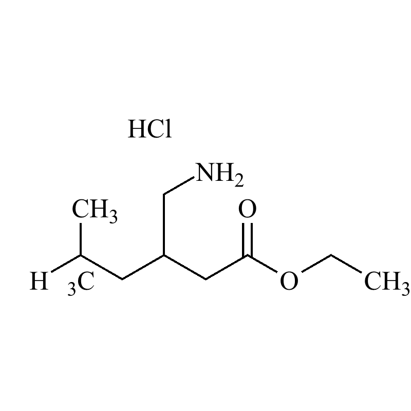
CAS Number: 1955498-14-2
Alternate CAS#:
Chemical Name: Pregabalin Impurity 4 HCl
Molecular Formula: C10H21NO2. HCl
Molecular Weight: 187.28 36.46
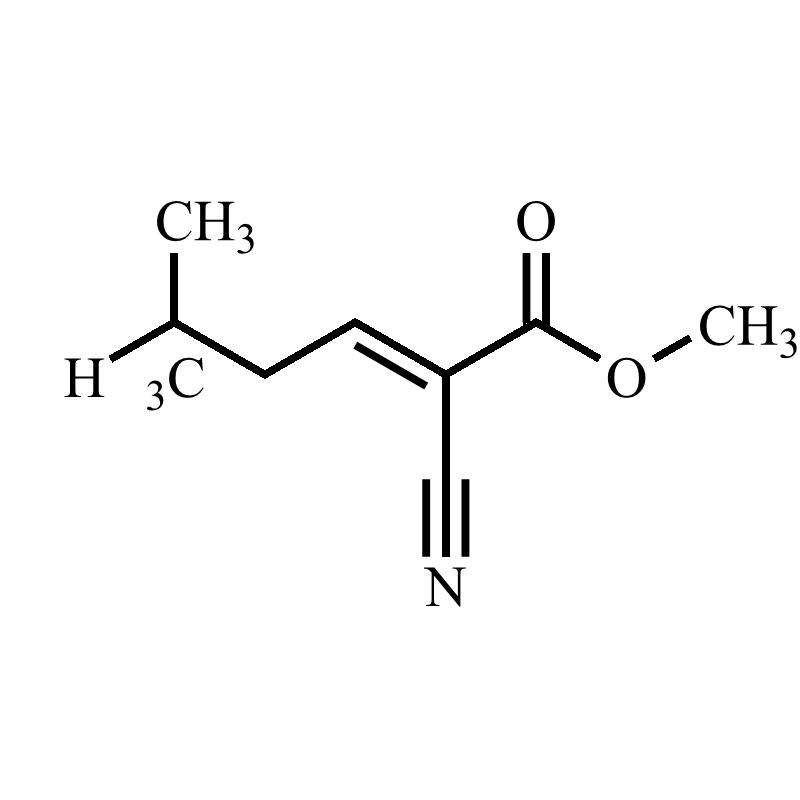
CAS Number: 105-56-6
Alternate CAS#:
Chemical Name: Pregabalin Impurity 39 (Ethyl cyanoacetate)
Molecular Formula: C5H7NO2
Molecular Weight: 113.12
CAS Number: N/A
Alternate CAS#:
Chemical Name: Pregabalin Impurity 38
Molecular Formula: C17H32N2O5
Molecular Weight: 344.45
CAS Number: 1567946-71-7
Alternate CAS#:
Chemical Name: Pregabalin Impurity 37
Molecular Formula: C10H22N2O. C4H6O6
Molecular Weight: 186.30 150.09
CAS Number: N/A
Alternate CAS#:
Chemical Name: Pregabalin Impurity 36 DiHCl
Molecular Formula: C7H18N2. 2 HCl
Molecular Weight: 130.24 2 36.46
CAS Number: 96914-67-9
Alternate CAS#:
Chemical Name: Pregabalin Impurity 35
Molecular Formula: C9H13NO2
Molecular Weight: 167.21
CAS Number: N/A
Alternate CAS#:
Chemical Name: Pregabalin Impurity 34
Molecular Formula: C13H22N2O2
Molecular Weight: 238.33













