CAS Number: 501666-22-4
Alternate CAS#:
Chemical Name: Pregabalin Impurity PD0310806
Molecular Formula: C14H25NO6
Molecular Weight: 303.36
CAS Number: 501665-97-0
Alternate CAS#:
Chemical Name: Pregabalin Impurity PD0224377
Molecular Formula: C14H25NO6
Molecular Weight: 303.36
CAS Number: N/A
Alternate CAS#:
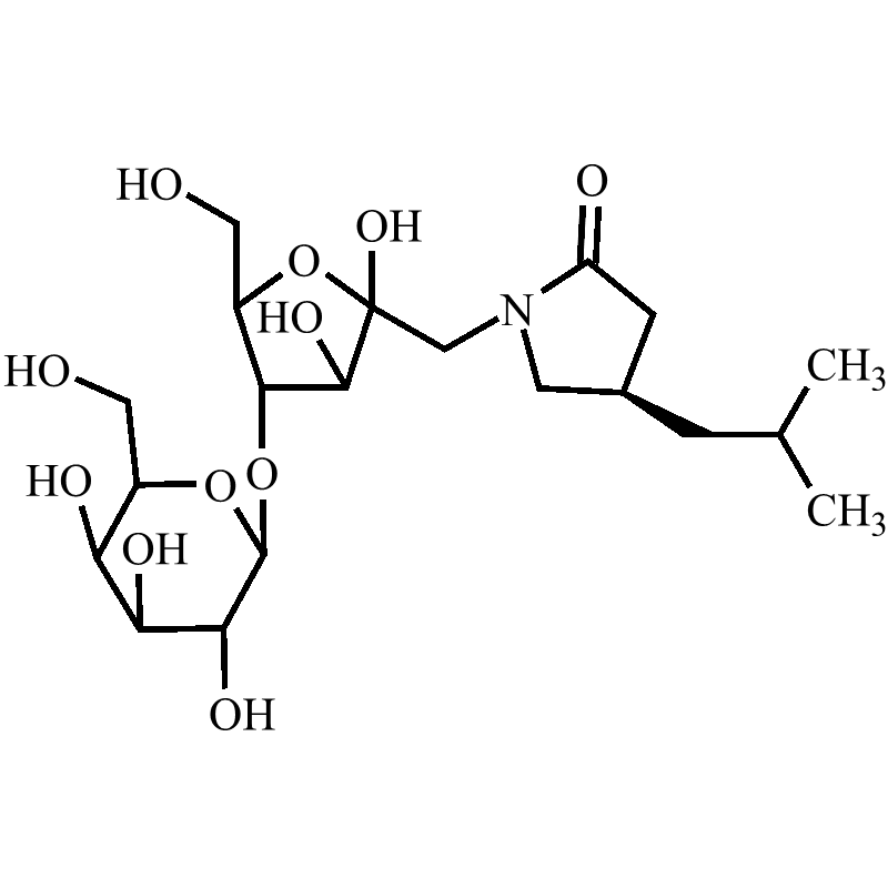
Chemical Name: Pregabalin Impurity PD 0312237
Molecular Formula: C20H35NO11
Molecular Weight: 465.5
CAS Number: N/A
Alternate CAS#:
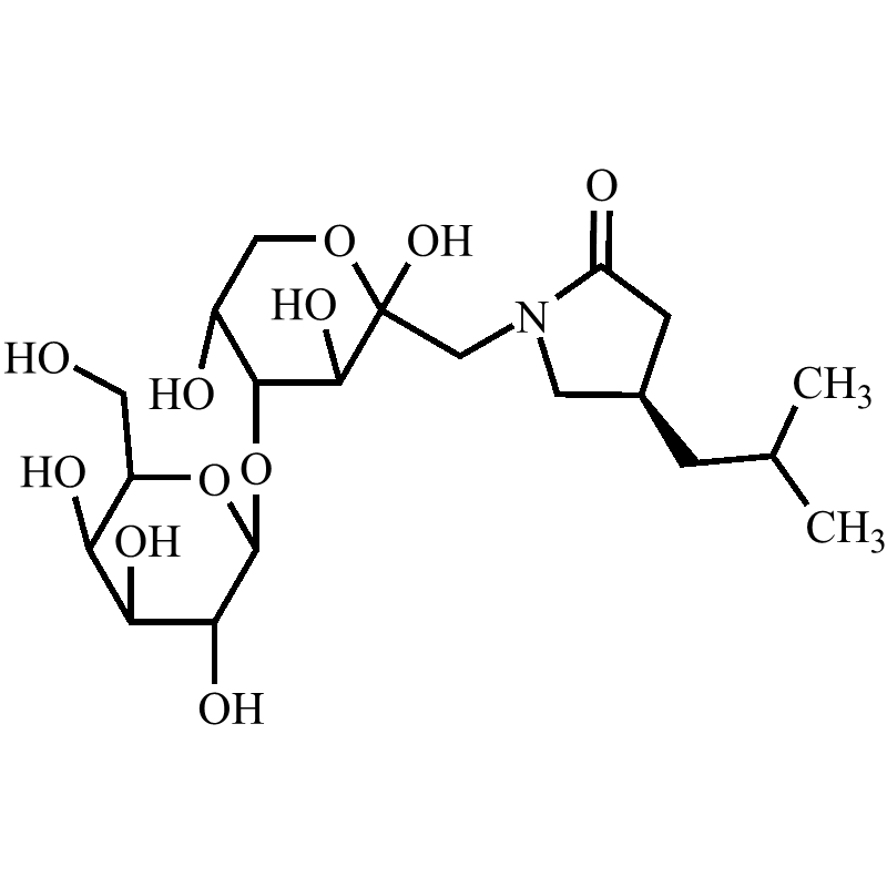
Chemical Name: Pregabalin Impurity PD 0312236
Molecular Formula: C20H35NO11
Molecular Weight: 465.5
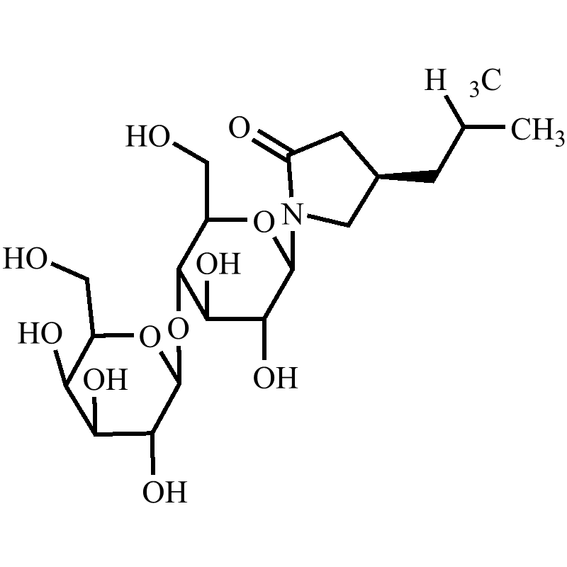
CAS Number: 501665-88-9
Alternate CAS#:
Chemical Name: Pregabalin Impurity PD 0224378
Molecular Formula: C20H35NO11
Molecular Weight: 465.5
CAS Number: 181289-33-8
Alternate CAS#:
Chemical Name: Pregabalin Impurity 94
Molecular Formula: C9H17NO3
Molecular Weight: 187.24
CAS Number: 75143-89-4
Alternate CAS#:
Chemical Name: Pregabalin Impurity 80
Molecular Formula: C9H16O4
Molecular Weight: 188.22
CAS Number: 185815-56-9
Alternate CAS#:
Chemical Name: Pregabalin Impurity 9
Molecular Formula: C11H16N4O2
Molecular Weight: 236.28
CAS Number: 1094517-98-2; 1094517-97-1 (free base)
Alternate CAS#:
Chemical Name: Pregabalin Impurity 7 D-Tartrate
Molecular Formula: C12H26N2O. C4H6O6
Molecular Weight: 214.35 150.09
CAS Number: N/A
Alternate CAS#:
Chemical Name: Pregabalin Impurity 6
Molecular Formula: C9H17NO3
Molecular Weight: 187.24
CAS Number: 1484267-23-3 (free base)
Alternate CAS#:
Chemical Name: Pregabalin Impurity 5 Tartrate
Molecular Formula: C12H25NO2. C4H6O6
Molecular Weight: 215.34 150.09
CAS Number: N/A
Alternate CAS#:
Chemical Name: Pregabalin Impurity 45
Molecular Formula: C24H42N2O4
Molecular Weight: 422.61













