CAS Number: N/A
Alternate CAS#:
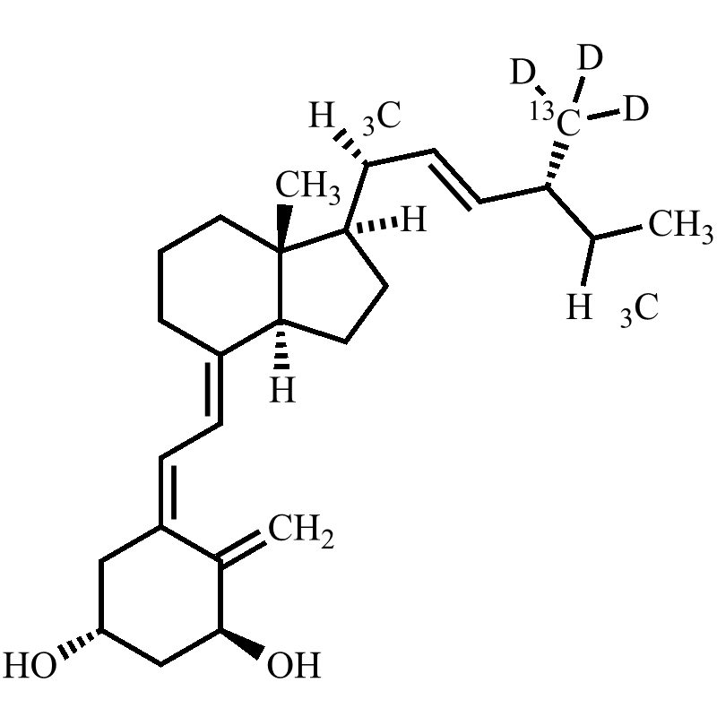
Chemical Name: Doxercalciferol-13C-d3
Molecular Formula: C28H41O2D3
Molecular Weight: 416.67
CAS Number: 97830-94-9
Alternate CAS#:
Chemical Name: Prednisone Impurity 9 (Mixture of Z and E Isomers)
Molecular Formula: C23H34N6O5
Molecular Weight: 474.56
CAS Number: 103466-44-0
Alternate CAS#:
Chemical Name: Prednisone Impurity 27
Molecular Formula: C23H26O5
Molecular Weight: 382.46
CAS Number: 107085-25-6
Alternate CAS#:
Chemical Name: Prednisone Impurity 26
Molecular Formula: C25H32O8
Molecular Weight: 460.52
CAS Number: 7091-05-6
Alternate CAS#:
Chemical Name: Prednisone Impurity 1
Molecular Formula: C21H26O5
Molecular Weight: 358.44
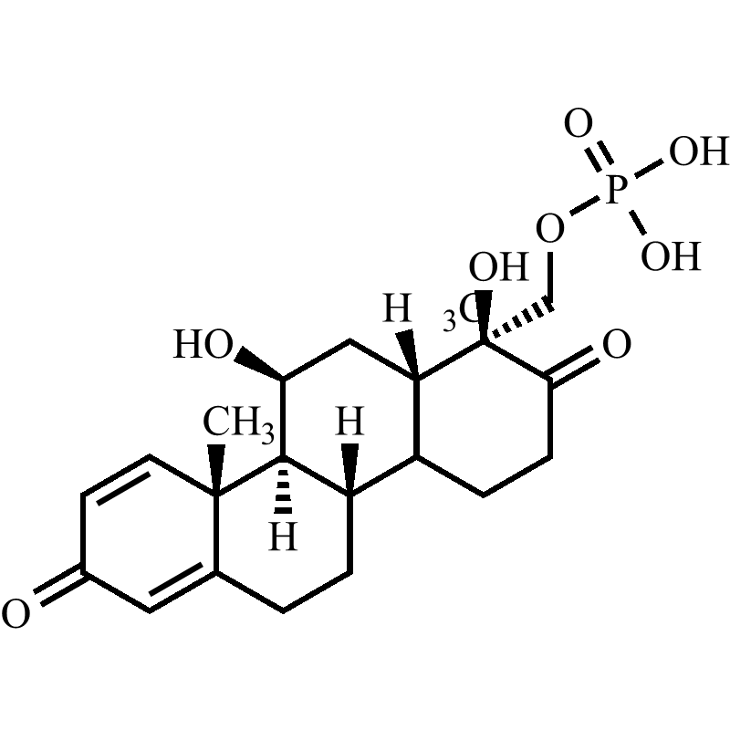
CAS Number: N/A
Alternate CAS#:
Chemical Name: D-Homo A Derivative of Prednisolone
Molecular Formula: C21H29O8P
Molecular Weight: 440.43
CAS Number: N/A
Alternate CAS#:
Chemical Name: D-Homo B Derivative of Prednisolone
Molecular Formula: C21H29O8P
Molecular Weight: 440.43
CAS Number: 671225-26-6
Alternate CAS#:
Chemical Name: Prednicarbate EP Impurity F
Molecular Formula: C27H38O8
Molecular Weight: 490.59
CAS Number: 53-03-2
Alternate CAS#:
Chemical Name: Prednisone
Molecular Formula: C21H26O5
Molecular Weight: 358.43
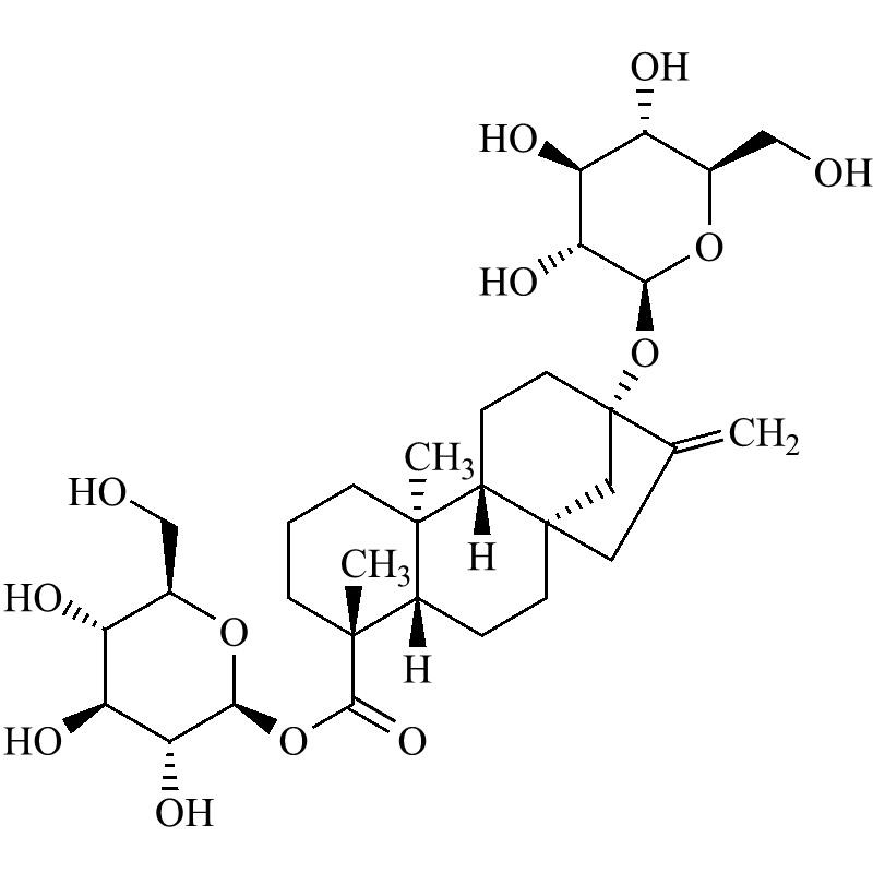
CAS Number: 64849-39-4
Alternate CAS#:
Chemical Name: Rubusoside
Molecular Formula: C32H50O13
Molecular Weight: 642.74
CAS Number: 6981-18-6
Alternate CAS#:
Chemical Name: Ormetoprim
Molecular Formula: C14H18N4O2
Molecular Weight: 274.32
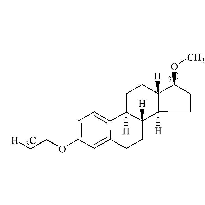
CAS Number: 39219-28-8
Alternate CAS#:
Chemical Name: Promestriene
Molecular Formula: C22H32O2
Molecular Weight: 328.5













