CAS Number: N/A
Alternate CAS#:
Chemical Name: Calcium Dobesilate Impurity 10
Molecular Formula: C12H9O9S2. 0.5 Ca
Molecular Weight: 361.32 0.5 40.08
CAS Number: 129-20-4
Alternate CAS#:
Chemical Name: Oxyphenbutazone
Molecular Formula: C19H20N2O3
Molecular Weight: 324.38
CAS Number: N/A
Alternate CAS#:
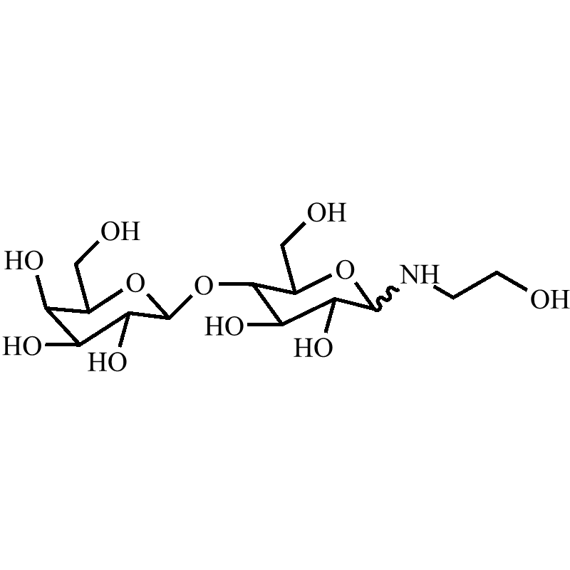
Chemical Name: Olamine lactose adduct
Molecular Formula: C14H27NO11
Molecular Weight: 385.37
CAS Number: N/A
Alternate CAS#:
Chemical Name: Hydroxyalbendazole
Molecular Formula: C12H15N3O3S
Molecular Weight: 281.33
CAS Number: 25093-47-4
Alternate CAS#:
Chemical Name: Dydrogesterone Impurity 3
Molecular Formula: C21H28O2
Molecular Weight: 312.46
CAS Number: 5488-51-7
Alternate CAS#:
Chemical Name: Dydrogesterone Impurity 1
Molecular Formula: C25H36O4
Molecular Weight: 400.56
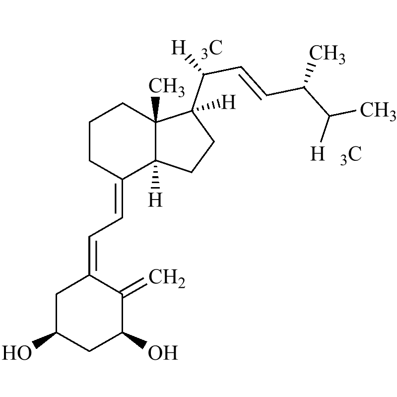
CAS Number: 216309-44-3
Alternate CAS#:
Chemical Name: Doxercalciferol Impurity 1 (beta-Doxercalciferol)
Molecular Formula: C28H44O2
Molecular Weight: 412.66
CAS Number: N/A
Alternate CAS#:
Chemical Name: Doxycycline Monohydrate
Molecular Formula: C22H24N2O8.H2O
Molecular Weight: 444.45 18.02
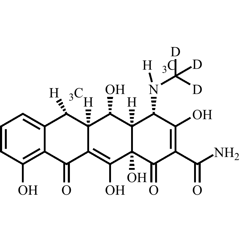
CAS Number: N/A
Alternate CAS#:
Chemical Name: Doxycycline-d3
Molecular Formula: C22H21D3N2O8
Molecular Weight: 447.46
CAS Number:
Alternate CAS#:
Chemical Name: N-Nitroso-N-Desmethyl Doxycycline
Molecular Formula: C21H21N3O9
Molecular Weight: 459.41
CAS Number: 543906-09-8 (non-labelled)
Alternate CAS#:
Chemical Name: Mavoglurant-d3
Molecular Formula: C19H20D3NO3
Molecular Weight: 316.42
CAS Number: 543906-09-8
Alternate CAS#:
Chemical Name: Mavoglurant
Molecular Formula: C19H23NO3
Molecular Weight: 313.4













