CAS Number: N/A
Alternate CAS#:
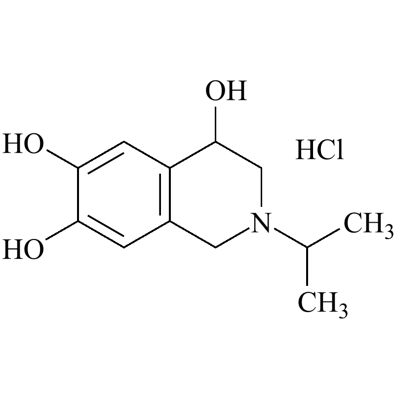
Chemical Name: Norepinephrine Impurity 33 HCl
Molecular Formula: C12H17NO3. HCl
Molecular Weight: 223.27 36.46
CAS Number: 50988-14-2
Alternate CAS#:
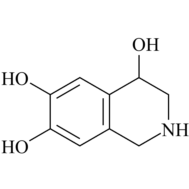
Chemical Name: Norepinephrine Impurity 32
Molecular Formula: C9H11NO3
Molecular Weight: 181.19
CAS Number: N/A
Alternate CAS#:
Chemical Name: Norepinephrine Impurity 31 Sodium Salt
Molecular Formula: C9H10NO6S. Na
Molecular Weight: 260.25 22.99
CAS Number: N/A
Alternate CAS#:
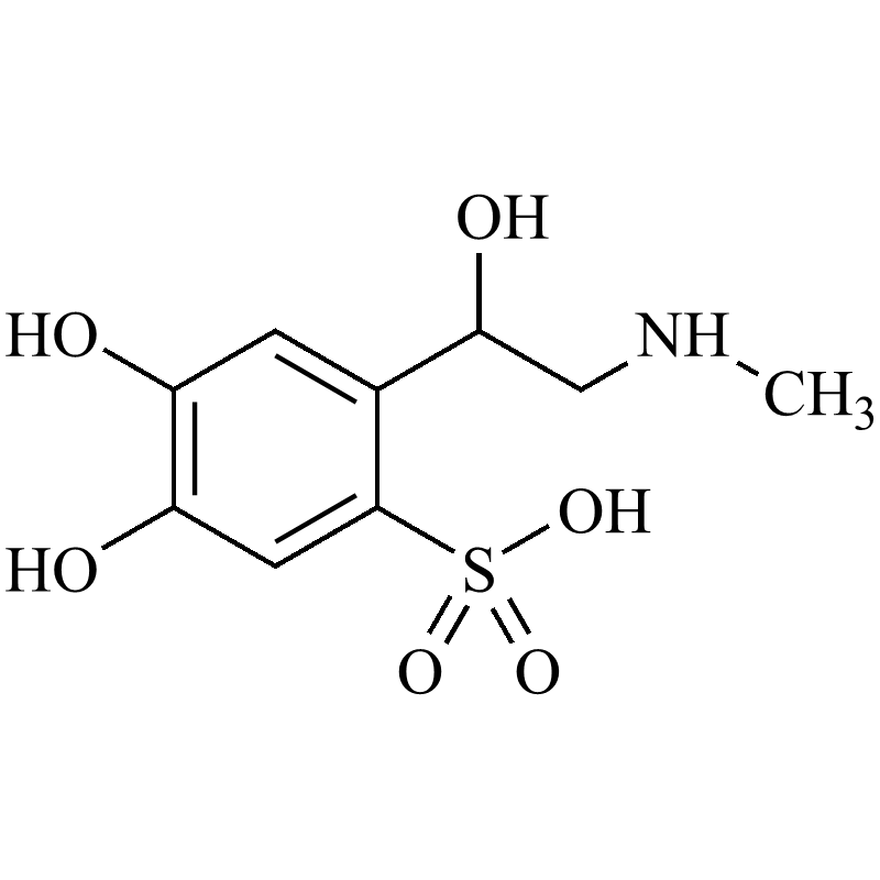
Chemical Name: Norepinephrine Impurity 30
Molecular Formula: C9H13NO6S
Molecular Weight: 263.26
CAS Number: 29477-54-1
Alternate CAS#:
Chemical Name: Norepinephrine Impurity 3
Molecular Formula: C8H8O4
Molecular Weight: 168.15
CAS Number: N/A
Alternate CAS#:
Chemical Name: Norepinephrine Impurity 29
Molecular Formula: C9H13NO6S
Molecular Weight: 263.26
CAS Number: N/A
Alternate CAS#:
Chemical Name: Norepinephrine Impurity 28
Molecular Formula: C8H8O3
Molecular Weight: 152.15
CAS Number: 1894611-03-0
Alternate CAS#:
Chemical Name: Norepinephrine Impurity 27
Molecular Formula: C9H13NO3
Molecular Weight: 183.21
CAS Number: N/A
Alternate CAS#:
Chemical Name: Norepinephrine Impurity 26 HCl
Molecular Formula: C8H5NO3. HCl
Molecular Weight: 163.13 36.46
CAS Number: 1197-09-7
Alternate CAS#:
Chemical Name: Norepinephrine Impurity 25
Molecular Formula: C8H8O3
Molecular Weight: 152.15
CAS Number: 373360-12-4 (free base)
Alternate CAS#:
Chemical Name: Norepinephrine Impurity 24 HCl
Molecular Formula: C8H11NO3. HCl
Molecular Weight: 169.18 36.46
CAS Number: 1528622-09-4
Alternate CAS#:
Chemical Name: Norepinephrine Impurity 23
Molecular Formula: C9H13NO3
Molecular Weight: 183.21













