CAS Number: 203784-52-5
Alternate CAS#:
Chemical Name: Nortriptyline-d3 HCl (Amitriptyline EP Impurity C-d3 HCl)
Molecular Formula: C19H18D3N. HCl
Molecular Weight: 266.40 36.46
CAS Number: 1891319-98-4 (free base)
Alternate CAS#:
Chemical Name: Norepinephrine Impurity 9 HCl
Molecular Formula: C8H9NO3. HCl
Molecular Weight: 167.17 36.46
CAS Number: 63704-55-2
Alternate CAS#:
Chemical Name: Norepinephrine Impurity 8
Molecular Formula: C8H7ClO3
Molecular Weight: 186.59
CAS Number: 2948-16-5
Alternate CAS#:
Chemical Name: Norepinephrine Impurity 7
Molecular Formula: C8H7ClO3
Molecular Weight: 186.59
CAS Number: N/A
Alternate CAS#:
Chemical Name: Norepinephrine Impurity 6
Molecular Formula: C8H9NO4
Molecular Weight: 183.16
CAS Number: 3198-07-0
Alternate CAS#:
Chemical Name: Norepinephrine Impurity 5 HCl
Molecular Formula: C10H15NO3. HCl
Molecular Weight: 197.23 36.46
CAS Number: N/A
Alternate CAS#:
Chemical Name: Norepinephrine Impurity 4
Molecular Formula: C8H6Cl2O3
Molecular Weight: 221.03
CAS Number: N/A
Alternate CAS#:
Chemical Name: Norepinephrine Impurity 38
Molecular Formula: C9H13NO6S
Molecular Weight: 263.26
CAS Number: N/A
Alternate CAS#:
Chemical Name: Norepinephrine Impurity 37
Molecular Formula: C8H11NO6S
Molecular Weight: 249.24
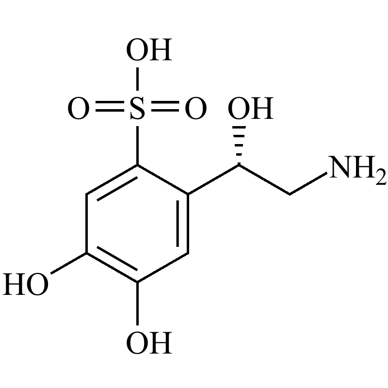
CAS Number: N/A
Alternate CAS#:
Chemical Name: Norepinephrine Impurity 36
Molecular Formula: C8H11NO6S
Molecular Weight: 249.24
CAS Number: N/A
Alternate CAS#:
Chemical Name: Norepinephrine Impurity 35
Molecular Formula: C8H11NO6S
Molecular Weight: 249.24
CAS Number: 1824725-09-8
Alternate CAS#:
Chemical Name: Norepinephrine Impurity 34
Molecular Formula: C9H11NO3
Molecular Weight: 181.19













