CAS Number: 62-13-5
Alternate CAS#:
Chemical Name: Adrenaline EP Impurity C HCl
Molecular Formula: C9H11NO3. HCl
Molecular Weight: 181.19 36.46
CAS Number: 1215507-88-2
Alternate CAS#:
Chemical Name: Metanephrine-d3 HCl (N-Methyl-d3)
Molecular Formula: C10H12D3NO3. HCl
Molecular Weight: 200.25 36.46
CAS Number: 51-43-4 (non-d)
Alternate CAS#:
Chemical Name: Epinephrine-d3
Molecular Formula: C9H10NO3D3
Molecular Weight: 186.23
CAS Number: 51-43-4
Alternate CAS#:
Chemical Name: Adrenaline (Epinephrine)
Molecular Formula: C9H13NO3
Molecular Weight: 183.21
CAS Number: 5001-33-2
Alternate CAS#:
Chemical Name: Metanephrine
Molecular Formula: C10H15NO3
Molecular Weight: 197.24
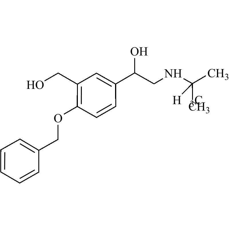
CAS Number: 5818-84-8
Alternate CAS#:
Chemical Name: Adrenochrome Impurity 1
Molecular Formula: C9H10NO6S. Na
Molecular Weight: 260.24 22.99
CAS Number: 54-06-8
Alternate CAS#:
Chemical Name: Adrenochrome
Molecular Formula: C9H9NO3
Molecular Weight: 179.18
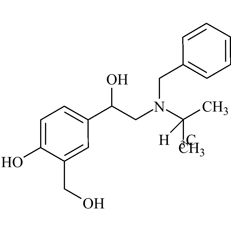
CAS Number: 87708-46-1
Alternate CAS#:
Chemical Name: Adrenochrome Impurity 2
Molecular Formula: C9H9NO3
Molecular Weight: 179.18
CAS Number: N/A
Alternate CAS#:
Chemical Name: Cortolone
Molecular Formula: C21H34O5
Molecular Weight: 366.5
CAS Number: 405906-95-8
Alternate CAS#:
Chemical Name: Macamide Impurity 11 (N-Benzyl-5-Oxo-6E,8E-Octadecadienamide)
Molecular Formula: C25H37NO2
Molecular Weight: 383.58
CAS Number: 2733-88-2
Alternate CAS#:
Chemical Name: Nervonic Acid Methyl Ester
Molecular Formula: C25H48O2
Molecular Weight: 380.66
CAS Number: 196000-01-2
Alternate CAS#:
Chemical Name: Ganglioside M2 (GM2-Ganglioside)
Molecular Formula: C67H121N3O26
Molecular Weight: 1384.72













