CAS Number: 169061-41-0
Alternate CAS#:
Chemical Name: Perindopril Related Compound 3 HCl
Molecular Formula: C9H15NO2. HCl
Molecular Weight: 169.23 36.46
CAS Number: 1004292-98-1
Alternate CAS#:
Chemical Name: Perindopril Related Compound 2 HCl
Molecular Formula: C9H15NO2. HCl
Molecular Weight: 169.23 36.46
CAS Number: N/A
Alternate CAS#:
Chemical Name: Perindopril Related Compound 11
Molecular Formula: C10H19NO4
Molecular Weight: 217.27
CAS Number: 145682-38-8
Alternate CAS#:
Chemical Name: Perindopril Related Compound 10
Molecular Formula: C10H19NO4
Molecular Weight: 217.27
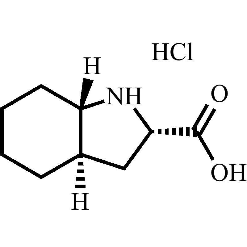
CAS Number: 144540-75-0
Alternate CAS#:
Chemical Name: Perindopril Related Compound 1 HCl
Molecular Formula: C9H15NO2. HCl
Molecular Weight: 169.23 36.46
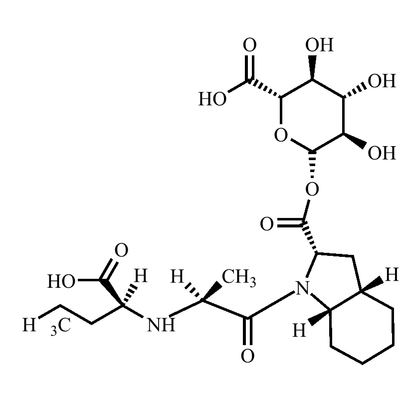
CAS Number: 120381-56-8
Alternate CAS#:
Chemical Name: Perindoprilat acyl glucuronide
Molecular Formula: C23H36N2O11
Molecular Weight: 516.55
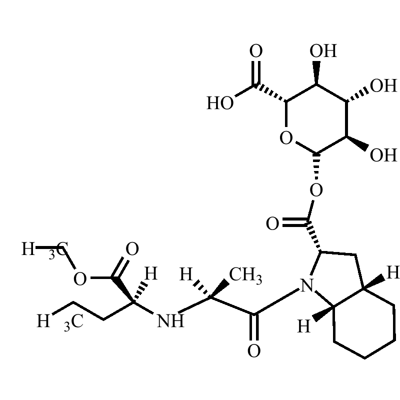
CAS Number: N/A
Alternate CAS#:
Chemical Name: Perindopril acyl glucuronide
Molecular Formula: C25H40N2O11
Molecular Weight: 544.6
CAS Number: 1356841-18-3
Alternate CAS#:
Chemical Name: Perindoprilat-d4
Molecular Formula: C17H24D4N2O5
Molecular Weight: 344.44
CAS Number: 107133-36-8
Alternate CAS#:
Chemical Name: Perindopril Erbumine
Molecular Formula: C19H32N2O5 . C4H11N
Molecular Weight: 368.48 . 73.14
CAS Number: 612548-45-5
Alternate CAS#:
Chemical Name: Perindopril L-Arginine
Molecular Formula: C19H32N2O5. C6H14N4O2
Molecular Weight: 368.47 174.20
CAS Number: N/A
Alternate CAS#:
Chemical Name: Perindopril EP Impurity O Sodium Salt
Molecular Formula: C28H44N3O6. Na
Molecular Weight: 518.68 22.99
CAS Number: 111836-22-7
Alternate CAS#:
Chemical Name: Perindopril EP Impurity L
Molecular Formula: C11H17NO3
Molecular Weight: 211.26













