CAS Number: 50-22-6
Alternate CAS#:
Chemical Name: Corticosterone
Molecular Formula: C21H30O4
Molecular Weight: 346.47
CAS Number: 70795-33-4
Alternate CAS#:
Chemical Name: Cortisol Impurity 5 Sodium Salt
Molecular Formula: C25H33O7. Na
Molecular Weight: 445.54 22.99
CAS Number: 7050-24-0
Alternate CAS#:
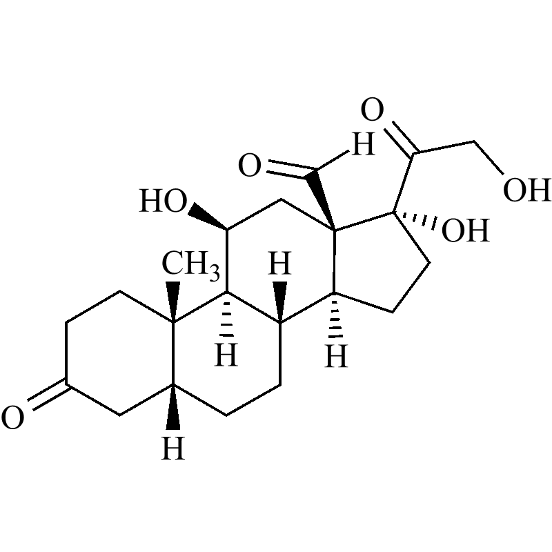
Chemical Name: Cortisol Impurity 4
Molecular Formula: C21H32O5
Molecular Weight: 364.48
CAS Number: 110353-25-8
Alternate CAS#:
Chemical Name: Cortisol Impurity 3
Molecular Formula: C21H30O6
Molecular Weight: 378.47
CAS Number: 105562-13-8
Alternate CAS#:
Chemical Name: Cortisol Impurity 2 ((Z)-17-deoxyaldehyde derivative)
Molecular Formula: C21H28O4
Molecular Weight: 344.45
CAS Number: 105562-12-7
Alternate CAS#:
Chemical Name: Cortisol Impurity 1 ((E)-17-Deoxyaldehyde Derivative)
Molecular Formula: C21H28O4
Molecular Weight: 344.45
CAS Number: N/A
Alternate CAS#:
Chemical Name: Cortisol-d5
Molecular Formula: C21H25O5D5
Molecular Weight: 367.5
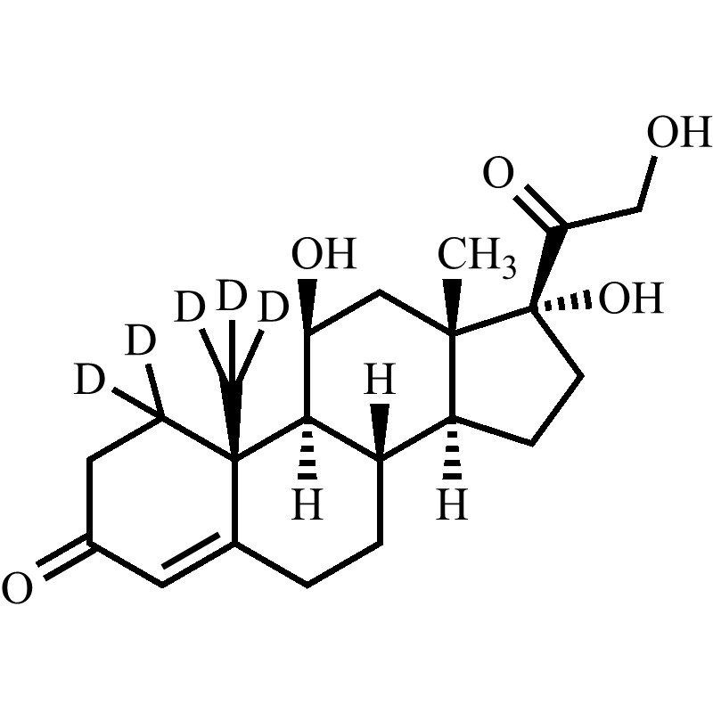
CAS Number: 73565-87-4
Alternate CAS#:
Chemical Name: Cortisol-d4
Molecular Formula: C21H26O5D4
Molecular Weight: 366.49
CAS Number: 50-23-7 (non-labelled)
Alternate CAS#:
Chemical Name: Cortisol-d2
Molecular Formula: C21H28D2O5
Molecular Weight: 364.48
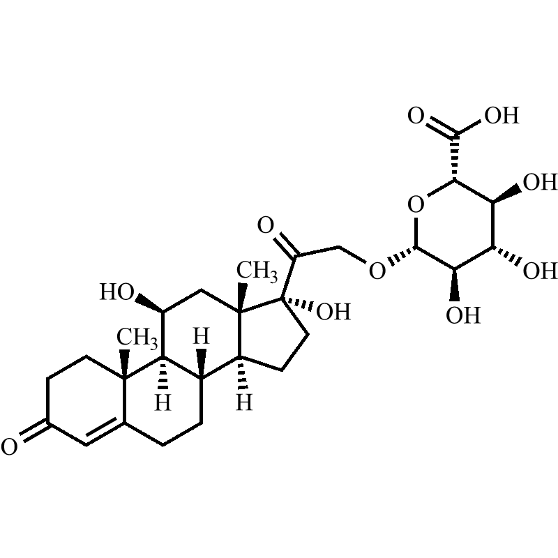
CAS Number: 7301-54-4
Alternate CAS#:
Chemical Name: Cortisol 21-beta-D-Glucuronide
Molecular Formula: C27H38O11
Molecular Weight: 538.59
CAS Number: 130566-58-4
Alternate CAS#:
Chemical Name: Pitofenone Impurity 1
Molecular Formula: C21H23NO4
Molecular Weight: 353.42
CAS Number: 1356998-79-2
Alternate CAS#:
Chemical Name: Pitavastatin Impurity 43
Molecular Formula: C19H16FN
Molecular Weight: 277.34













