CAS Number: 2086271-67-0
Alternate CAS#:
Chemical Name: Pitavastatin Impurity 13 (Pitavastatin 2,4,6-Triene Impurity)
Molecular Formula: C25H20FNO2
Molecular Weight: 385.44
CAS Number: N/A
Alternate CAS#:
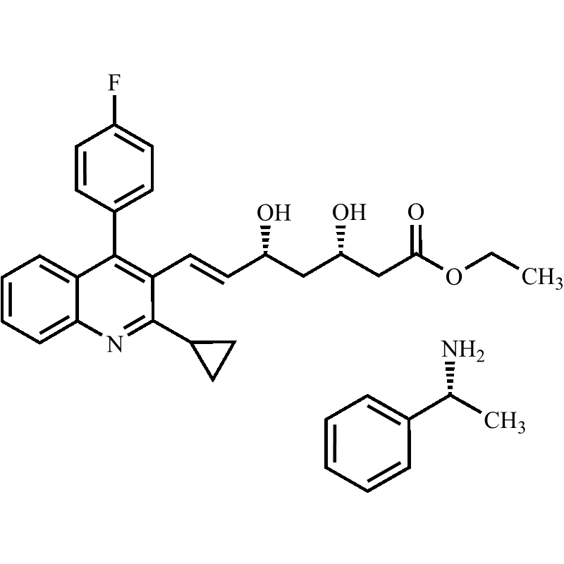
Chemical Name: Pitavastatin Impurity 12
Molecular Formula: C27H28FNO4 C8H11N
Molecular Weight: 449.53 121.18
CAS Number: N/A
Alternate CAS#:
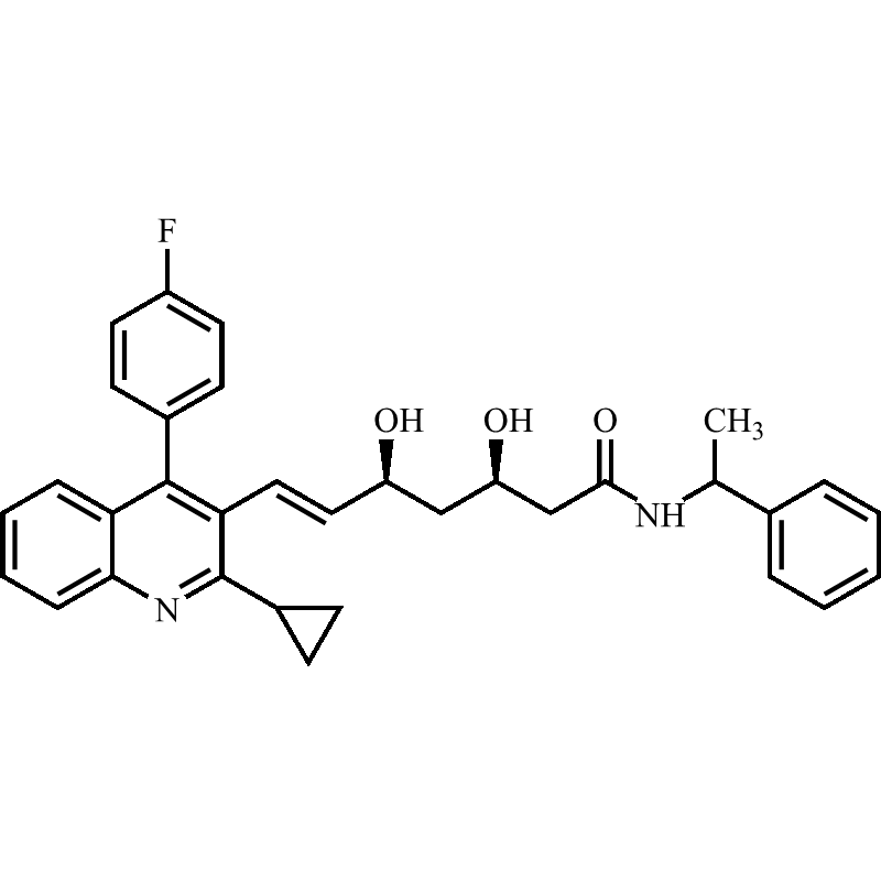
Chemical Name: Pitavastatin Impurity 11
Molecular Formula: C33H33FN2O3
Molecular Weight: 524.64
CAS Number: N/A
Alternate CAS#:
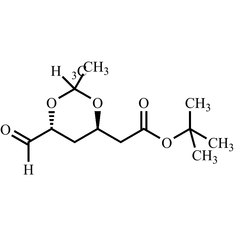
Chemical Name: Pitavastatin Impurity 10
Molecular Formula: C13H22O5
Molecular Weight: 258.32
CAS Number: 574752-66-2
Alternate CAS#:
Chemical Name: Pitavastatin Acyl Glucuronide
Molecular Formula: C31H32FNO10
Molecular Weight: 597.6
CAS Number: 586966-54-3
Alternate CAS#:
Chemical Name: tert-Butyl Pitavastatin
Molecular Formula: C29H32FNO4
Molecular Weight: 477.58
CAS Number: 141750-63-2
Alternate CAS#:
Chemical Name: Pitavastatin Lactone
Molecular Formula: C25H22FNO3
Molecular Weight: 403.45
CAS Number: 147526-32-7
Alternate CAS#:
Chemical Name: Pitavastatin Calcium Salt
Molecular Formula: C50H46F2N2O8. Ca
Molecular Weight: 840.93 40.08
CAS Number: 154057-58-6
Alternate CAS#:
Chemical Name: Pitavastatin Impurity 44 Bromide
Molecular Formula: C37H30FNP . Br
Molecular Weight: 538.63 . 79.90
CAS Number: N/A
Alternate CAS#:
Chemical Name: Pitavastatin 8’-Hydroxy Impurity
Molecular Formula: C25H23FNO5
Molecular Weight: 436.46
CAS Number: 148901-69-3
Alternate CAS#:
Chemical Name: Pitavastatin 3-Oxo Ethyl Ester
Molecular Formula: C27H26FNO4
Molecular Weight: 447.51
CAS Number: N/A
Alternate CAS#:
Chemical Name: Pitavastatin 3-Oxo Acid
Molecular Formula: C25H22FNO4
Molecular Weight: 419.46













