CAS Number: N/A
Alternate CAS#:
Chemical Name: Prednisolone Diphosphate
Molecular Formula: C21H30O11P2
Molecular Weight: 520.41
CAS Number: 1807-14-3
Alternate CAS#:
Chemical Name: Prednisolone EP Impurity J (11-Deoxy Prednisolone)
Molecular Formula: C21H28O4
Molecular Weight: 344.45
CAS Number: 13479-38-4
Alternate CAS#:
Chemical Name: Prednisolone EP Impurity I (17-Deoxy Prednisolone)
Molecular Formula: C21H28O4
Molecular Weight: 344.45
CAS Number: 2427-64-7
Alternate CAS#:
Chemical Name: Prednisolone EP Impurity H
Molecular Formula: C21H26O5
Molecular Weight: 358.43
CAS Number: 2299-46-9
Alternate CAS#:
Chemical Name: Prednisolone EP Impurity G (20(S)-Hydroxy Prednisolone)
Molecular Formula: C21H30O5
Molecular Weight: 362.47
CAS Number: 600-90-8
Alternate CAS#:
Chemical Name: Prednisolone EP Impurity F (11-epi-Prednisolone)
Molecular Formula: C21H28O5
Molecular Weight: 360.45
CAS Number: 95815-58-0
Alternate CAS#:
Chemical Name: Prednisolone EP Impurity E (14-Alpha-hydroxy Prednisolone)
Molecular Formula: C21H28O6
Molecular Weight: 376.45
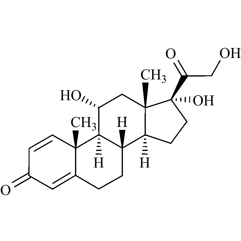
CAS Number: 16355-29-6
Alternate CAS#:
Chemical Name: Prednisolone EP Impurity D
Molecular Formula: C21H28O6
Molecular Weight: 376.45
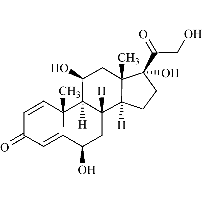
CAS Number: N/A
Alternate CAS#:
Chemical Name: Prednisolone Impurity ZY1
Molecular Formula: C21H24O6
Molecular Weight: 372.42
CAS Number: N/A
Alternate CAS#:
Chemical Name: Prednisolone 21-Ethylcarbonate
Molecular Formula: C24H32O7
Molecular Weight: 432.51
CAS Number: 2141-22-2
Alternate CAS#:
Chemical Name: Prednisolone 21-Formate
Molecular Formula: C22H28O6
Molecular Weight: 388.46
CAS Number: 630-67-1
Alternate CAS#:
Chemical Name: Prednisolone Sodium 21-Metasulfobenzoate
Molecular Formula: C28H31O9S. Na
Molecular Weight: 543.62 22.99













