CAS Number: N/A
Alternate CAS#:
Chemical Name: Prilocaine Impurity 2
Molecular Formula: C23H29N3O2
Molecular Weight: 379.5
CAS Number: N/A
Alternate CAS#:
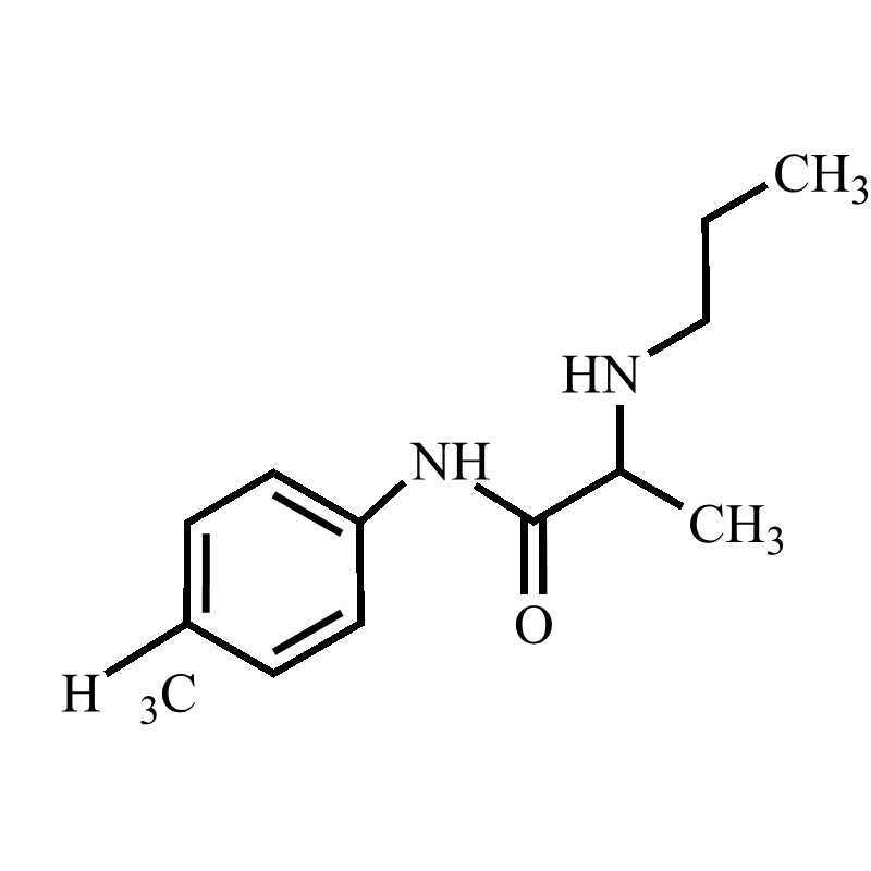
Chemical Name: Prilocaine Impurity 1
Molecular Formula: C15H22N2O
Molecular Weight: 246.35
CAS Number: 744961-76-0
Alternate CAS#: 35891-99-7(HCl salt)
Chemical Name: Prilocaine EP Impurity E
Molecular Formula: C13H20N2O
Molecular Weight: 220.32
CAS Number: 1049712-77-7
Alternate CAS#:
Chemical Name: Prilocaine EP Impurity G HCl
Molecular Formula: C12H18N2O. HCl
Molecular Weight: 206.29 36.46
CAS Number: 42459-45-0
Alternate CAS#:
Chemical Name: Prilocaine EP Impurity F
Molecular Formula: C12H18N2O
Molecular Weight: 206.29
CAS Number: 19281-31-3
Alternate CAS#:
Chemical Name: Prilocaine EP Impurity A
Molecular Formula: C10H12ClNO
Molecular Weight: 197.66
CAS Number: N/A
Alternate CAS#:
Chemical Name: Protopine-13C-d3
Molecular Formula: C1913CH16D3NO5
Molecular Weight: 357.38
CAS Number: 130-86-9
Alternate CAS#:
Chemical Name: Protopine
Molecular Formula: C20H19NO5
Molecular Weight: 353.37
CAS Number: 438-60-8 (non-d)
Alternate CAS#:
Chemical Name: Protriptyline-d6
Molecular Formula: C19H15ND6
Molecular Weight: 269.45
CAS Number: 438-60-8(non-d)
Alternate CAS#:
Chemical Name: Protriptyline-d3
Molecular Formula: C19H18ND3
Molecular Weight: 266.42
CAS Number: N/A
Alternate CAS#:
Chemical Name: Protriptyline-10,11-Epoxide
Molecular Formula: C19H21NO
Molecular Weight: 279.39
CAS Number: 53109-32-3
Alternate CAS#:
Chemical Name: Protirelin EP Impurity E
Molecular Formula: C11H14N4O2
Molecular Weight: 234.26













