CAS Number: 35121-78-9
Alternate CAS#:
Chemical Name: Prostacyclin (Epoprostenol)
Molecular Formula: C20H32O5
Molecular Weight: 352.47
CAS Number: 35900-16-4
Alternate CAS#:
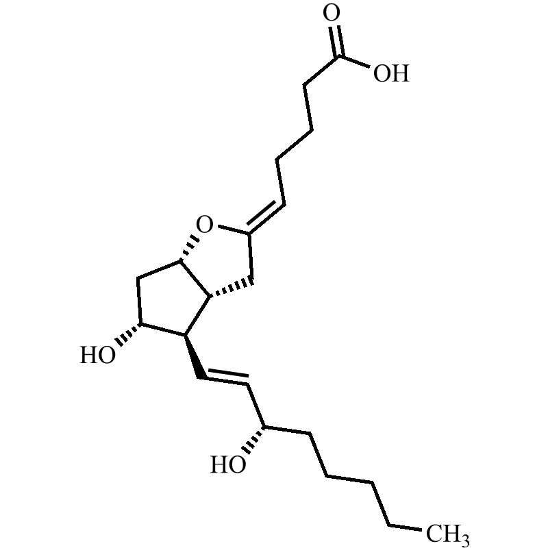
Chemical Name: Alprostadil (Prostaglandin E1) EP Impurity I
Molecular Formula: C22H38O5
Molecular Weight: 382.54
CAS Number: 480-81-9
Alternate CAS#:
Chemical Name: Seneciphylline
Molecular Formula: C18H23NO5
Molecular Weight: 333.38
CAS Number: 101687-28-9
Alternate CAS#:
Chemical Name: Senecivernine N-Oxide
Molecular Formula: C18H25NO6
Molecular Weight: 351.4
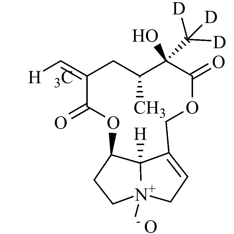
CAS Number: N/A
Alternate CAS#:
Chemical Name: Senecionine N-Oxide-d3
Molecular Formula: C18H22D3NO6
Molecular Weight: 354.42
CAS Number: N/A
Alternate CAS#:
Chemical Name: Senecivernine N-Oxide-13C-d3
Molecular Formula: C1713CH22D3NO6
Molecular Weight: 355.41
CAS Number: N/A
Alternate CAS#:
Chemical Name: Senecionine-d3
Molecular Formula: C18H22D3NO5
Molecular Weight: 338.42
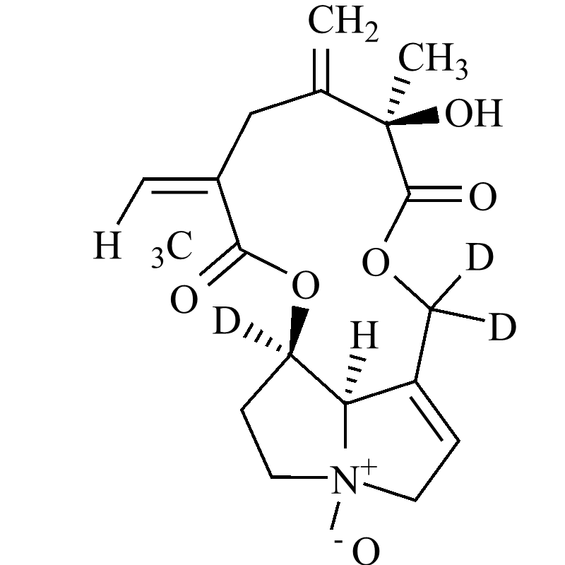
CAS Number: N/A
Alternate CAS#:
Chemical Name: Senecivernine-13C-d3
Molecular Formula: C1713CH22D3NO5
Molecular Weight: 339.41
CAS Number: N/A
Alternate CAS#:
Chemical Name: Seneciphylline N-Oxide-d3
Molecular Formula: C18H20D3NO6
Molecular Weight: 352.4
CAS Number: 13268-67-2
Alternate CAS#:
Chemical Name: Senecionine N-Oxide
Molecular Formula: C18H25NO6
Molecular Weight: 351.4
CAS Number: N/A
Alternate CAS#:
Chemical Name: Seneciphylline-d3
Molecular Formula: C18H20D3NO5
Molecular Weight: 336.4
CAS Number: 58186-01-9 (non-d)
Alternate CAS#:
Chemical Name: QS-4-d6
Molecular Formula: C13H10O6D6
Molecular Weight: 274.31













