CAS Number: N/A
Alternate CAS#:
Chemical Name: Hydroxychloroquine N-desethyl Impurity
Molecular Formula: C16H22ClN3O
Molecular Weight: 307.83
CAS Number:
Alternate CAS#:
Chemical Name: N-Nitroso Hydroxychloroquine
Molecular Formula: C18H25ClN4O2
Molecular Weight: 364.87
CAS Number: N/A
Alternate CAS#:
Chemical Name: Hydroxychlorodenafil-d5
Molecular Formula: C19H18ClN4O3D5
Molecular Weight: 395.9
CAS Number: 1159977-47-5
Alternate CAS#:
Chemical Name: Hydroxythio Acetildenafil
Molecular Formula: C25H34N6O3S
Molecular Weight: 498.65
CAS Number: 479073-82-0
Alternate CAS#:
Chemical Name: Hydroxythiohomo Sildenafil
Molecular Formula: C23H32N6O4S2
Molecular Weight: 520.67
CAS Number: 55699-12-2
Alternate CAS#:
Chemical Name: Oxymetazoline EP Impurity D
Molecular Formula: C14H20O3
Molecular Weight: 236.31
CAS Number: 55699-13-3
Alternate CAS#:
Chemical Name: Oxymetazoline EP Impurity C
Molecular Formula: C14H21NO2
Molecular Weight: 235.33
CAS Number: 1491-59-4
Alternate CAS#:
Chemical Name: Oxymetazoline
Molecular Formula: C16H24N2O
Molecular Weight: 260.38
CAS Number: 10004-44-1
Alternate CAS#:
Chemical Name: Hymexazol (3-Hydroxy-5-Methylisoxazole)
Molecular Formula: C4H5NO2
Molecular Weight: 99.09
CAS Number: 4812-40-2 (non-d)
Alternate CAS#:
Chemical Name: Hydroxy Metronidazole-d2
Molecular Formula: C6H7N3O4D2
Molecular Weight: 189.17
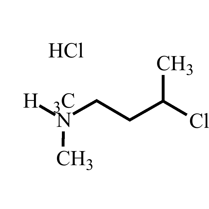
CAS Number: 5495-65-8
Alternate CAS#:
Chemical Name: Oxomemazine Impurity (3-Chloro-N,N-Dimethyl-1-Butanamine) HCl
Molecular Formula: C6H14ClN. HCl
Molecular Weight: 135.64 36.46
CAS Number: 59303-37-6
Alternate CAS#:
Chemical Name: Hydroxymethyl Tolperisone
Molecular Formula: C16H23NO2
Molecular Weight: 261.37













