CAS Number: N/A
Alternate CAS#:
Chemical Name: Artemisinin-d3
Molecular Formula: C15H19O5D3
Molecular Weight: 285.36
CAS Number: 101020-89-7
Alternate CAS#:
Chemical Name: Artemisitene (Methyl Artemisinin)
Molecular Formula: C15H20O5
Molecular Weight: 280.32
CAS Number: 63968-64-9
Alternate CAS#:
Chemical Name: Artemisinin
Molecular Formula: C15H22O5
Molecular Weight: 282.34
CAS Number: 1316753-15-7
Alternate CAS#:
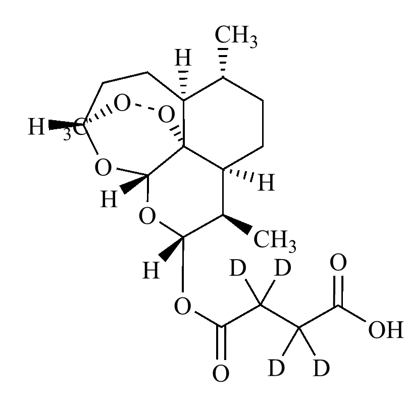
Chemical Name: Artesunate-d4
Molecular Formula: C19H24D4O8
Molecular Weight: 388.45
CAS Number: N/A
Alternate CAS#:
Chemical Name: Artesunate-d3
Molecular Formula: C19H25O8D3
Molecular Weight: 387.45
CAS Number: 88495-63-0
Alternate CAS#:
Chemical Name: Artesunate
Molecular Formula: C19H28O8
Molecular Weight: 384.43
CAS Number: 125184-95-4
Alternate CAS#:
Chemical Name: Artemisinic Alcohol
Molecular Formula: C15H24O
Molecular Weight: 220.36
CAS Number: 263711-74-6
Alternate CAS#:
Chemical Name: Apigenin-d5
Molecular Formula: C15H5O5D5
Molecular Weight: 275.27
CAS Number: 29741-09-1
Alternate CAS#:
Chemical Name: Apigenin 7-O-Glucuronide
Molecular Formula: C21H18O11
Molecular Weight: 446.36
CAS Number: 578-74-5
Alternate CAS#:
Chemical Name: Apigenin-7-O-D-Glucoside
Molecular Formula: C21H20O10
Molecular Weight: 432.38
CAS Number:
Alternate CAS#:
Chemical Name: Apalutamide Impurity 48 intermediate Tert-butyl Ester
Molecular Formula: C14H25NO4
Molecular Weight: 271.36
CAS Number: 103529-94-8
Alternate CAS#:
Chemical Name: Apiosylskimmin
Molecular Formula: C20H24O12
Molecular Weight: 456.41













