CAS Number: 866323-14-0
Alternate CAS#:
Chemical Name: Belinostat
Molecular Formula: C15H14N2O4S
Molecular Weight: 318.35
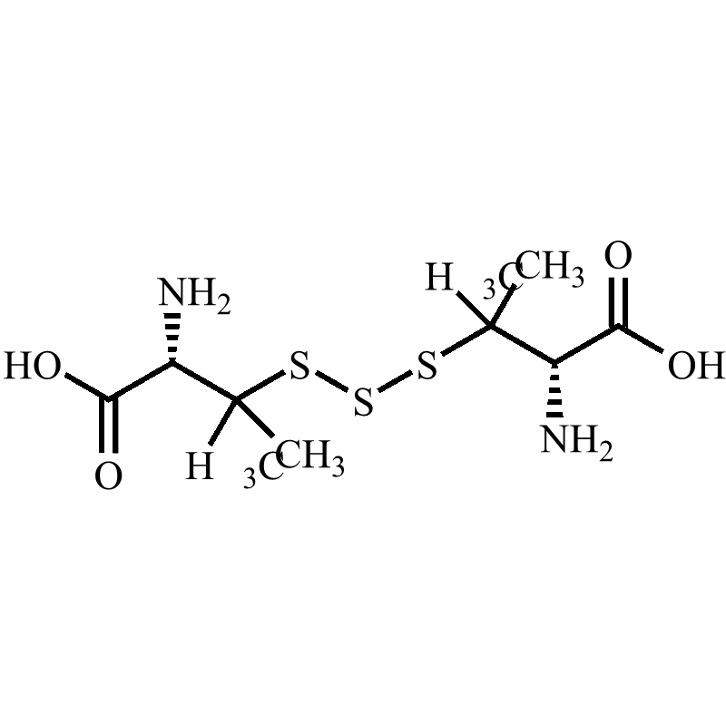
CAS Number: 21291-06-5
Alternate CAS#:
Chemical Name: Penicillenic Acid Disulfide
Molecular Formula: C32H34N4O8S2
Molecular Weight: 666.76
CAS Number: 10250-99-4
Alternate CAS#:
Chemical Name: Penicillenic Acid
Molecular Formula: C9H12N2O4S
Molecular Weight: 244.27
CAS Number: 76350-36-2
Alternate CAS#:
Chemical Name: Penicillin Impurity 3
Molecular Formula: C8H10ClNO5S
Molecular Weight: 267.68
CAS Number: 1978372-79-0
Alternate CAS#:
Chemical Name: Penicillin Impurity 2
Molecular Formula: C16H24N4O6S2
Molecular Weight: 432.51
CAS Number: 37727-80-3
Alternate CAS#:
Chemical Name: (2R)-Penicillin Impurity 1
Molecular Formula: C8H14N2O4S
Molecular Weight: 234.27
CAS Number: 90-65-3
Alternate CAS#:
Chemical Name: Penicillic Acid
Molecular Formula: C8H10O4
Molecular Weight: 170.16
CAS Number: 22801-32-7
Alternate CAS#:
Chemical Name: Penicillamine Impurity 1
Molecular Formula: C10H20N2O4S3
Molecular Weight: 328.46
CAS Number: 132-98-9
Alternate CAS#:
Chemical Name: Penicillin V Potassium Salt
Molecular Formula: C16H17N2O5S. K
Molecular Weight: 349.38 39.10
CAS Number: 6130-64-9
Alternate CAS#:
Chemical Name: Penicillin G Procaine
Molecular Formula: 334.40 236.32
Molecular Weight: C16H18N2O4S. C13H20N2O2
CAS Number: 1372-02-5
Alternate CAS#:
Chemical Name: Penicillin G Benzathine
Molecular Formula: C16H20N2 . C16H18N2O4S . 4 H2O
Molecular Weight: 240.35 334.40 4x18.02
CAS Number: 6011-39-8
Alternate CAS#:
Chemical Name: Penicillin G Clemizol
Molecular Formula: C19H20ClN3. C16H18N2O4S
Molecular Weight: 325.84 334.39













