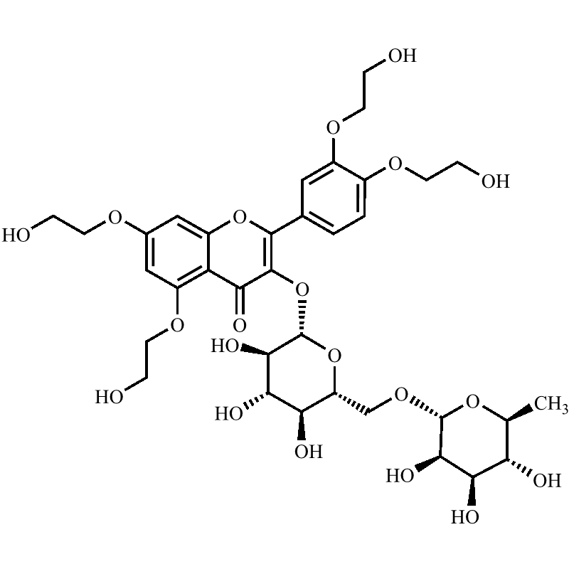
CAS Number: 6980-20-7
Alternate CAS#:
Chemical Name: Troxerutin Impurity 1
Molecular Formula: C35H46O20
Molecular Weight: 786.73
CAS Number: 7085-55-4
Alternate CAS#:
Chemical Name: Troxerutin
Molecular Formula: C33H42O19
Molecular Weight: 742.68
CAS Number: 127040-01-1
Alternate CAS#:
Chemical Name: Troglitazone Glucuronide
Molecular Formula: C30H35NO11S
Molecular Weight: 617.67
CAS Number: N/A
Alternate CAS#:
Chemical Name: Troglitazone Quinone
Molecular Formula: C24H27NO6S
Molecular Weight: 457.54
CAS Number: 127040-01-1 (non-labelled)
Alternate CAS#:
Chemical Name: Troglitazone-d4 Glucuronide
Molecular Formula: C30H31D4NO11S
Molecular Weight: 621.69
CAS Number: N/A
Alternate CAS#:
Chemical Name: Troglitazone-d4 Sulfate
Molecular Formula: C24H23D4NO8S2
Molecular Weight: 525.62
CAS Number: N/A
Alternate CAS#:
Chemical Name: Troglitazone-d4 Quinone
Molecular Formula: C24H23D4NO6S
Molecular Weight: 461.57
CAS Number: 97322-87-7 (non-labelled)
Alternate CAS#:
Chemical Name: Troglitazone-d4
Molecular Formula: C24H23D4NO5S
Molecular Weight: 445.57
CAS Number: 97322-87-7
Alternate CAS#:
Chemical Name: Troglitazone
Molecular Formula: C24H27NO5S
Molecular Weight: 441.55
CAS Number: 1029877-94-8
Alternate CAS#:
Chemical Name: Trelagliptin Succinate
Molecular Formula: C18H20FN5O2. C4H6O4
Molecular Weight: 357.39 118.09
CAS Number: 105-36-2
Alternate CAS#:
Chemical Name: Travoprost Impurity 7
Molecular Formula: C4H7BrO2
Molecular Weight: 167
CAS Number: N/A
Alternate CAS#:
Chemical Name: Travoprost Impurity 5
Molecular Formula: C30H47F3O5Si2
Molecular Weight: 600.87













