CAS Number: N/A
Alternate CAS#:
Chemical Name: Deferasirox Impurity 20
Molecular Formula: C42H28N6O9S
Molecular Weight: 792.78
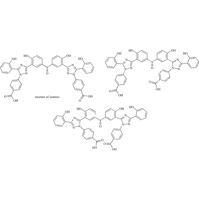
CAS Number: N/A
Alternate CAS#:
Chemical Name: Deferasirox Impurity 19 (Mixture of Isomers)
Molecular Formula: C42H28N6O9S
Molecular Weight: 792.78
CAS Number: 619-67-0
Alternate CAS#:
Chemical Name: Deferasirox EP Impurity F
Molecular Formula: C7H8N2O2
Molecular Weight: 152.15
CAS Number: N/A
Alternate CAS#:
Chemical Name: Deferiprone Impurity 3
Molecular Formula: C6H10N2O
Molecular Weight: 126.16
CAS Number: 17184-19-9
Alternate CAS#:
Chemical Name: Deferiprone Impurity 2
Molecular Formula: C6H7NO2
Molecular Weight: 125.13
CAS Number: N/A
Alternate CAS#:
Chemical Name: Deferiprone Impurity 1
Molecular Formula: C8H12N2O
Molecular Weight: 152.2
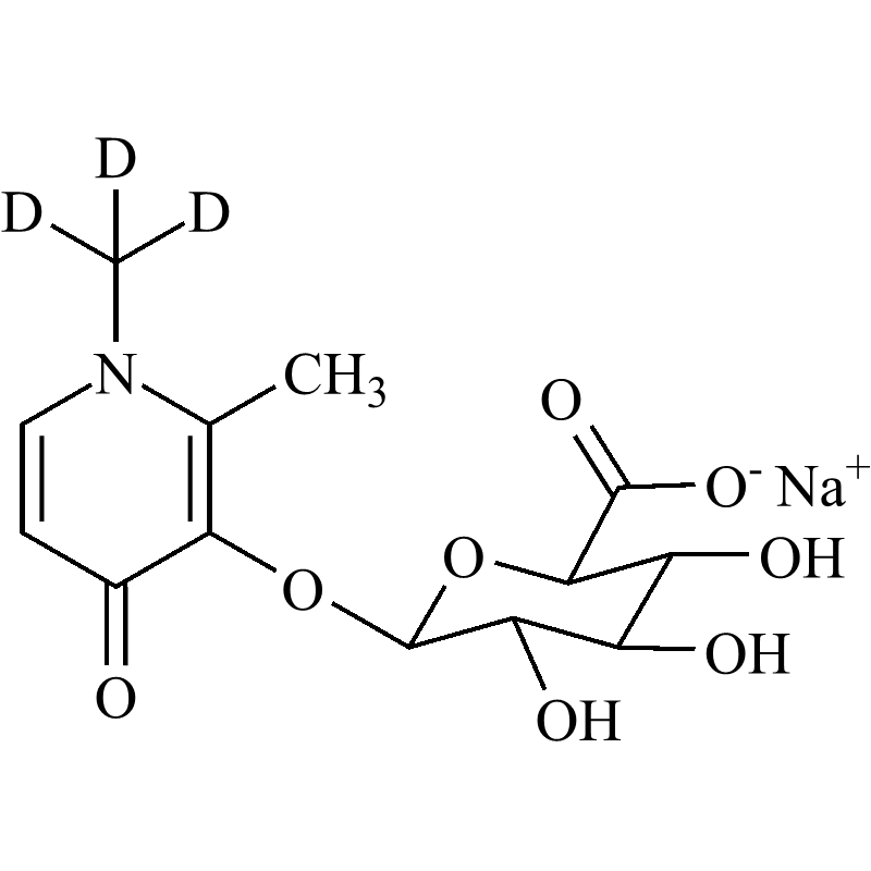
CAS Number: N/A
Alternate CAS#:
Chemical Name: Deferiprone-d3 3-O-?-D-Glucuronide Sodium Salt
Molecular Formula: C13H13D3NO8. Na
Molecular Weight: 317.29 22.99
CAS Number: 1346601-82-8
Alternate CAS#:
Chemical Name: Deferiprone-d3
Molecular Formula: C7H6D3NO2
Molecular Weight: 142.17
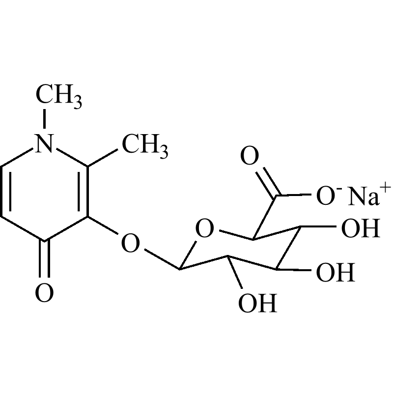
CAS Number: N/A
Alternate CAS#:
Chemical Name: Deferiprone 3-O-?-D-Glucuronide Sodium Salt
Molecular Formula: C13H16NO8. Na
Molecular Weight: 314.27 22.99
CAS Number: 30652-11-0
Alternate CAS#:
Chemical Name: Deferiprone
Molecular Formula: C7H9NO2
Molecular Weight: 139.16
CAS Number: N/A
Alternate CAS#:
Chemical Name: Deferoxamine EP Impurity I
Molecular Formula: C23H46N6O6
Molecular Weight: 502.66
CAS Number: N/A
Alternate CAS#:
Chemical Name: Deferoxamine-D3 mesylate
Molecular Formula: C25H45N6O8D3 . CH4O3S
Molecular Weight: 563.71 96.11













