CAS Number: N/A
Alternate CAS#:
Chemical Name: all-cis-7,10,13,16,19-Docosapentaenoic Acid Impurity 2
Molecular Formula: C14H13Br
Molecular Weight: 261.16
CAS Number: N/A
Alternate CAS#:
Chemical Name: all-cis-7,10,13,16,19-Docosapentaenoic Acid Impurity 1-13C3
Molecular Formula: 13C3 C11H14O
Molecular Weight: 201.24
CAS Number: N/A
Alternate CAS#:
Chemical Name: all-cis-7,10,13,16,19-Docosapentaenoic Acid Impurity 1
Molecular Formula: C14H14O
Molecular Weight: 198.27
CAS Number: 24880-45-3 (non-labelled)
Alternate CAS#:
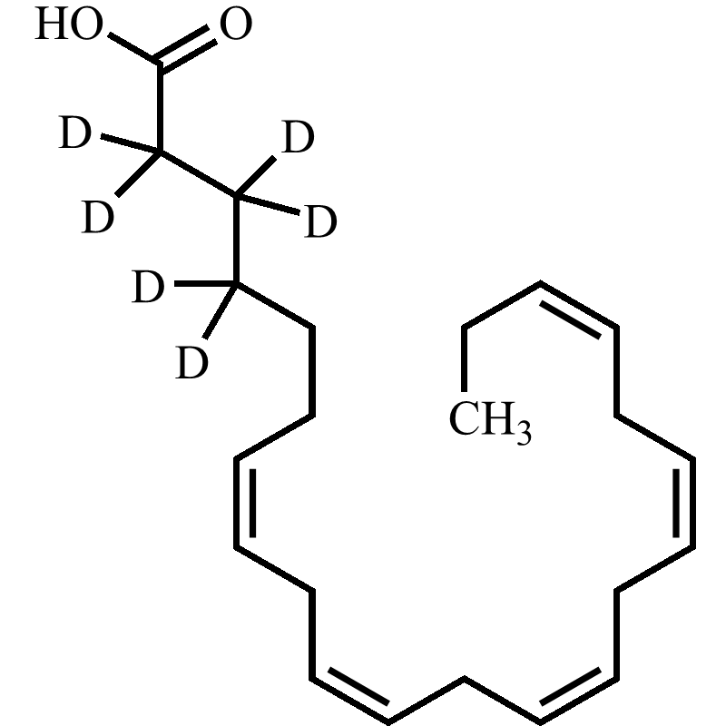
Chemical Name: all-cis-7,10,13,16,19-Docosapentaenoic Acid-d6
Molecular Formula: C22H28D6O2
Molecular Weight: 336.55
CAS Number: N/A
Alternate CAS#:
Chemical Name: all-cis-7,10,13,16,19-Docosapentaenoic Acid-13C3
Molecular Formula: 13C3 C19H34O2
Molecular Weight: 333.49
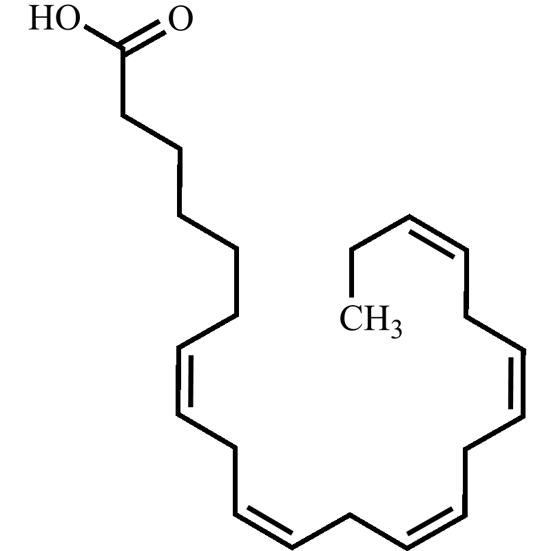
CAS Number: 24880-45-3
Alternate CAS#:
Chemical Name: all-cis-7,10,13,16,19-Docosapentaenoic Acid
Molecular Formula: C22H34O2
Molecular Weight: 330.52
CAS Number: 116-31-4
Alternate CAS#:
Chemical Name: All-trans Retinal
Molecular Formula: C20H28O
Molecular Weight: 284.44
CAS Number: N/A
Alternate CAS#:
Chemical Name: Panobinostat-d4
Molecular Formula: C21H19N3O2D4
Molecular Weight: 353.46
CAS Number: 404950-80-7
Alternate CAS#:
Chemical Name: Panobinostat
Molecular Formula: C21H23N3O2
Molecular Weight: 349.44
CAS Number: 749786-16-1
Alternate CAS#:
Chemical Name: Perfluoroundecanesulfonic acid
Molecular Formula: C11HF23O3S
Molecular Weight: 650.15
CAS Number: 29457-72-5
Alternate CAS#:
Chemical Name: Lithium Perfluorooctanesulfonate
Molecular Formula: C8F17LiO3S
Molecular Weight: 506.06
CAS Number: 791563-89-8
Alternate CAS#:
Chemical Name: Perfluorotridecane sulfonic acid
Molecular Formula: C13HF27O3S
Molecular Weight: 750.16













