CAS Number: N/A
Alternate CAS#:
Chemical Name: Homo-L-Tyrosinyl-L-Glutamine
Molecular Formula: C15H21N3O5
Molecular Weight: 323.35
CAS Number: 172822-29-6
Alternate CAS#:
Chemical Name: ent-Aprepitant
Molecular Formula: C23H21F7N4O3
Molecular Weight: 534.43
CAS Number: 2089649-22-7
Alternate CAS#:
Chemical Name: Thermospermine TetraHCl
Molecular Formula: C10H26N4. 4 HCl
Molecular Weight: 202.35 4 36.46
CAS Number: 3979-14-4
Alternate CAS#:
Chemical Name: Ethyl Tropic Acid
Molecular Formula: C11H14O3
Molecular Weight: 194.23
CAS Number: 57786-23-9
Alternate CAS#:
Chemical Name: Tropicamide EP Impurity A DiHCl (Tropicamide USP Related Compound A DiHCl)
Molecular Formula: C8H12N2. 2 HCl
Molecular Weight: 136.20 2*36.46
CAS Number: 1508-75-4
Alternate CAS#:
Chemical Name: Tropicamide
Molecular Formula: C17H20N2O2
Molecular Weight: 284.36
CAS Number: N/A
Alternate CAS#:
Chemical Name: Genistein-d2
Molecular Formula: C15H8O5D2
Molecular Weight: 272.26
CAS Number: 76871-75-5
Alternate CAS#:
Chemical Name: Dye 26
Molecular Formula: C40H30ClS2. ClO4
Molecular Weight: 610.25 99.45
CAS Number: N/A
Alternate CAS#:
Chemical Name: Propargite Impurity (2-(4-tert-Butylphenoxy)cyclohexyl Hydrogen Sulfite)
Molecular Formula: C16H24O4S
Molecular Weight: 312.43
CAS Number: N/A
Alternate CAS#:
Chemical Name: Norethindrone Impurity O
Molecular Formula: C24H28O5
Molecular Weight: 396.48
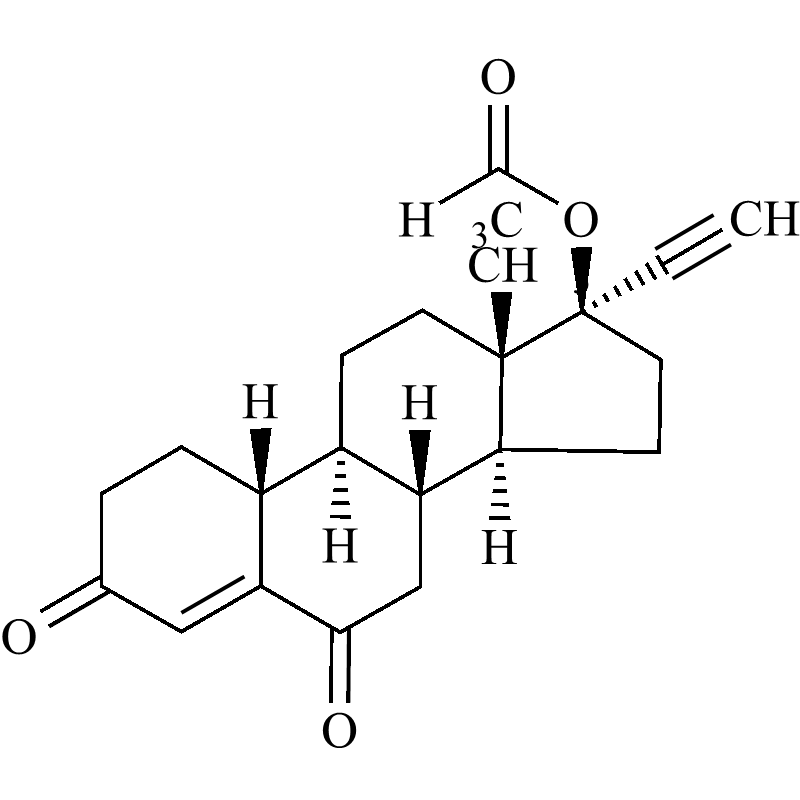
CAS Number: 438244-27-0
Alternate CAS#:
Chemical Name: Norethindrone Impurity G (6-Keto Norethindrone Acetate)
Molecular Formula: C22H26O4
Molecular Weight: 354.45
CAS Number: 66964-58-7
Alternate CAS#:
Chemical Name: Norethindrone Impurity E
Molecular Formula: C22H30O4
Molecular Weight: 358.48













