CAS Number: 90098-38-7
Alternate CAS#:
Chemical Name: Rebamipide Methyl Ester
Molecular Formula: C20H17ClN2O4
Molecular Weight: 384.82
CAS Number: 1219409-06-9
Alternate CAS#:
Chemical Name: Rebamipide-d4
Molecular Formula: C19H11D4ClN2O4
Molecular Weight: 374.81
CAS Number: 90098-05-8
Alternate CAS#:
Chemical Name: Rebamipide 3-Chloro Impurity
Molecular Formula: C19H15ClN2O4
Molecular Weight: 370.79
CAS Number: 90098-06-9
Alternate CAS#:
Chemical Name: Rebamipide 2-Chloro Impurity
Molecular Formula: C19H15ClN2O4
Molecular Weight: 370.79
CAS Number: 90098-04-7
Alternate CAS#:
Chemical Name: Rebamipide
Molecular Formula: C19H15ClN2O4
Molecular Weight: 370.79
CAS Number: N/A
Alternate CAS#:
Chemical Name: Liothyronine Lactose Adduct
Molecular Formula: C27H32I3NO14
Molecular Weight: 975.26
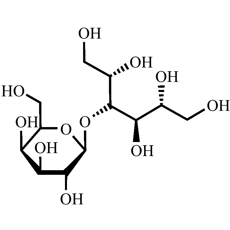
CAS Number: N/A
Alternate CAS#:
Chemical Name: Lactitol Impurity 1 (3-O-?-D-galactopyranosyl-D-glucitol, Lactulitol)
Molecular Formula: C12H24O11
Molecular Weight: 344.32
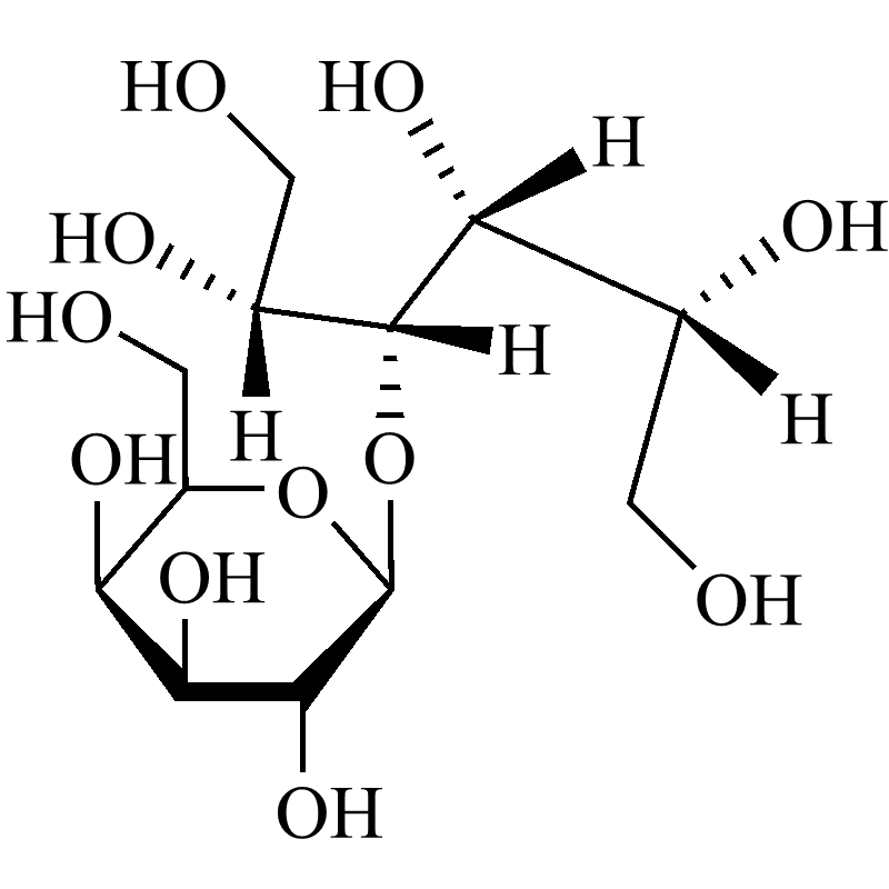
CAS Number: CAS 53796-37-5
Alternate CAS#:
Chemical Name: Lactitol EP Impurity B
Molecular Formula: C12H24O11
Molecular Weight: 344.31
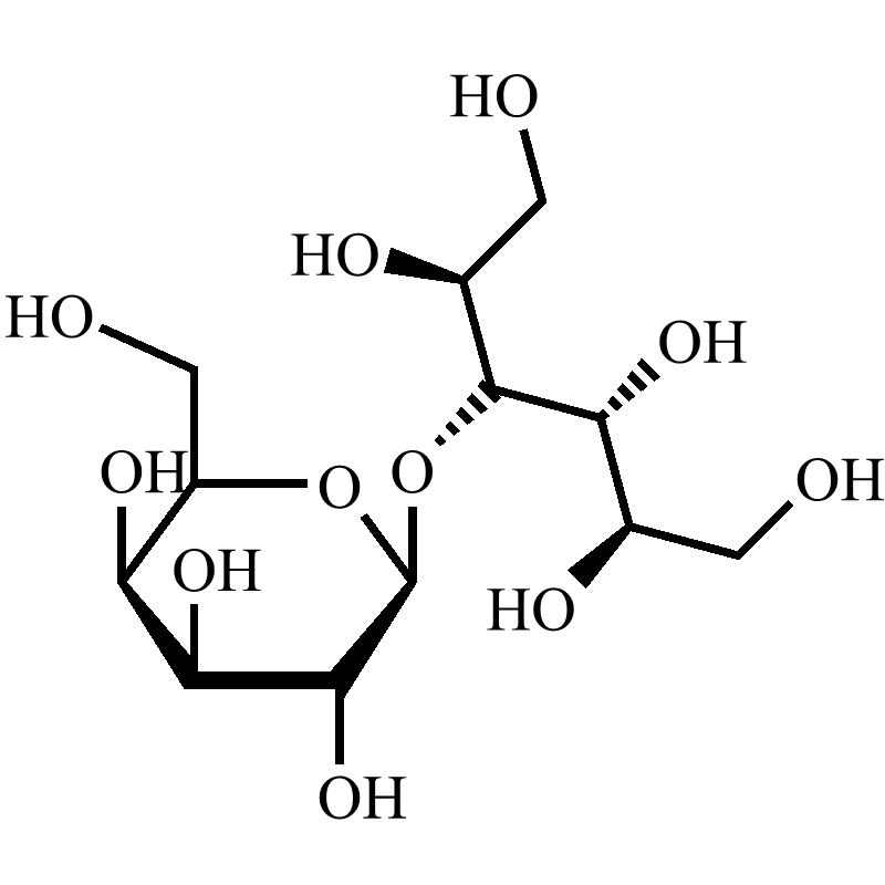
CAS Number: 585-86-4
Alternate CAS#:
Chemical Name: Lactitol
Molecular Formula: C12H24O11
Molecular Weight: 344.31
CAS Number: N/A
Alternate CAS#:
Chemical Name: Lactose octasulfate triethylamine salt
Molecular Formula: C12H14O35S8. 8 C6H16N
Molecular Weight: 974.69 8 102.20
CAS Number: N/A
Alternate CAS#:
Chemical Name: Lactose-13C12
Molecular Formula: 13C12H22O11
Molecular Weight: 354.21
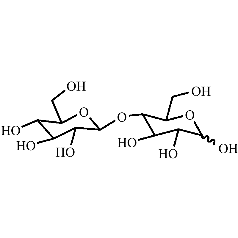
CAS Number: 63-42-3
Alternate CAS#:
Chemical Name: Lactose
Molecular Formula: C12H22O11
Molecular Weight: 342.3













