CAS Number: N/A
Alternate CAS#:
Chemical Name: Rosuvastatin N-Oxide 1
Molecular Formula: C22H28FN3O7S
Molecular Weight: 497.54
CAS Number:
Alternate CAS#: 847849-66-5 (free acid)
Chemical Name: Rosuvastatin EP Impurity M Sodium Salt
Molecular Formula: C22H28N3O6S. Na
Molecular Weight: 462.54 22.99
CAS Number: N/A
Alternate CAS#: 847849-66-5 (free acid)
Chemical Name: Rosuvastatin EP Impurity M Calcium Salt
Molecular Formula: C22H28N3O6S. 1/2 Ca
Molecular Weight: 462.54 1/2 40.08
CAS Number: N/A
Alternate CAS#:
Chemical Name: Rosuvastatin EP Impurity L
Molecular Formula: C22H29FN3O6S. Na
Molecular Weight: 482.55 22.99
CAS Number: N/A
Alternate CAS#: 2290571-51-4 (free acid)
Chemical Name: Rosuvastatin EP Impurity N Calcium Salt
Molecular Formula: C22H25FN3O5S . 1/2Ca
Molecular Weight: 462.52 . 20.04
CAS Number: 289042-12-2
Alternate CAS#:
Chemical Name: Rosuvastatin EP Impurity F
Molecular Formula: C29H40FN3O6S
Molecular Weight: 577.71
CAS Number: N/A
Alternate CAS#:
Chemical Name: Rosuvastatin EP Impurity B Calcium salt
Molecular Formula: C22H27FN3O6S .1/2Ca
Molecular Weight: 480.53 . 20.04
CAS Number: 287714-41-4 (non-labelled)
Alternate CAS#:
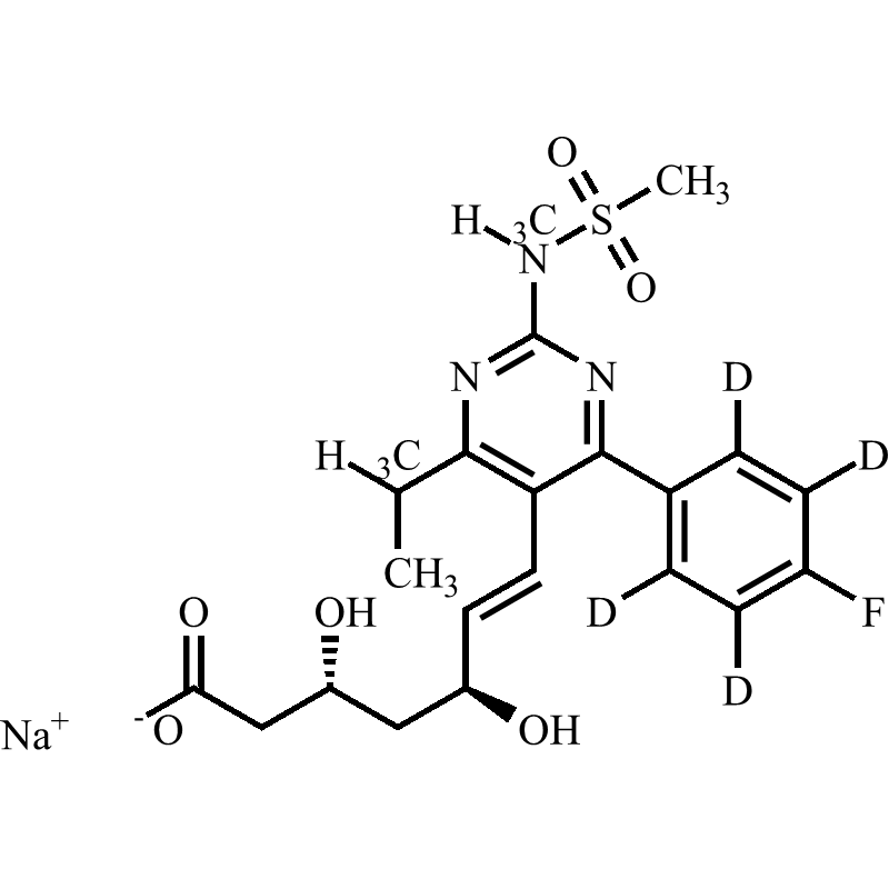
Chemical Name: Rosuvastatin-d4 sodium salt
Molecular Formula: C22H23D4FN3O6S. Na
Molecular Weight: 484.56 22.99
CAS Number: 243984-11-4
Alternate CAS#:
Chemical Name: Resatorvid
Molecular Formula: C15H17ClFNO4S
Molecular Weight: 361.82
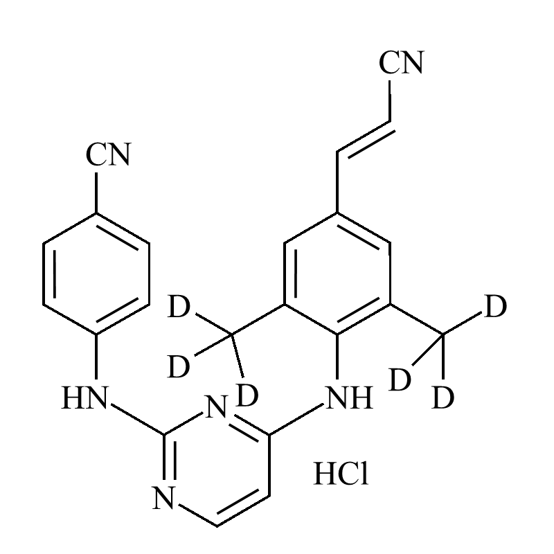
CAS Number: 700361-47-3 (non-labelled)
Alternate CAS#:
Chemical Name: Rilpivirine-d6 HCl
Molecular Formula: C22H12D6N6. HCl
Molecular Weight: 372.47 36.46
CAS Number: N/A
Alternate CAS#:
Chemical Name: Rilpivirine Amide-2 Impurity (4-{[4-({4-(E)-2-Cyanoethyl]-2, 6-Dimethyl]phenyl}amino-2-Pyrimidinyl]amino}-Benzamide)
Molecular Formula: C22H20N6O
Molecular Weight: 384.44
CAS Number: N/A
Alternate CAS#:
Chemical Name: Rilpivirine Keto Impurity (4-[(4-Oxo-1, 4-Dihydropyrimidin-2-yl)amino]-Benzonitrile)
Molecular Formula: C11H8N4O
Molecular Weight: 212.21













